Semasa belajar di kelas pula, saya akan menumpukan perhatian yang sepenuhnya terhadap pengajaran guru. Yang manakah contoh soalan surat kiriman tidak rasmi? Alamat penulis sendiri tarikh kata pengantar menemui. 3 banyak perkara yang boleh ditulis dalam surat kiriman tidak rasmi.
Karangan kumpulan b
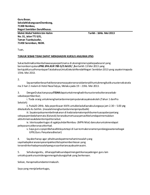
Contoh surat kiriman tidak rasmi. Kemudian pegawai dinaikkan pangkat sebagai jurupulih perubatan anggota gred u7 pada 20 disember 2000 dengan kadar cuti rehat 30 hari. 3 banyak perkara yang boleh ditulis dalam surat kiriman tidak rasmi. Terdapat beberapa jenis surat kiriman tidak rasmi yang biasa dibuat seperti berikut. (boleh pilih lebih daripada satu jawapan) answer choices tulis surat kepada seorang pegawai bank untuk melaporkan kehilangan kad bank anda. Alamat penulis sendiri tarikh kata pengantar menemui.
Surat Kiriman Tidak Rasmi Kepada Abang. Dua tapak web "bantuan penulisan" saya menerima lebih daripada dua juta pelawat setiap tahun mencari maklumat dan templat untuk membantu mereka dalam penulisan mereka. Dengan pelawat yang ramai itu, saya mendapat idea yang cukup tepat tentang perkara yang dicari orang dalam cara bantuan menulis surat. Malah, sebilangan besar orang tiba di tapak saya berdasarkan frasa carian "surat perniagaan".
Pada pandangan pertama, istilah "surat perniagaan" kelihatan logik. Tunggu sebentar! Apakah maksud "surat perniagaan" sebenarnya? Nampaknya mereka tidak pasti. Ia berpunca daripada ini: pencari adalah sama ada pemilik atau pekerja perniagaan dan mesti menulis surat tentang perniagaan mereka. Oleh itu, frasa carian mereka "surat perniagaan".
Saya sering mendapat e-mel daripada orang yang bertanya kepada saya sama ada saya mempunyai sebarang templat surat perniagaan, atau jika saya boleh menulis surat perniagaan kepada mereka. Selalunya, saya perlu membalas mereka bertanya "apa jenis surat perniagaan, apakah tujuan khusus"? Hakikatnya; "surat perniagaan" ialah istilah yang sangat umum yang boleh bermaksud salah satu daripada banyak jenis surat khusus yang berbeza.
Artikel ini akan menerangkan apa itu surat perniagaan.
Walaupun penggunaan e-mel secara meluas dalam perdagangan, kebanyakan perniagaan masih gunakan surat perniagaan tradisional untuk berkomunikasi dengan pelanggan.
Ini adalah benar terutamanya apabila perniagaan ingin merasmikan perjanjian atau persefahaman. E-mel bagus untuk kebanyakan kerja penyediaan. Walau bagaimanapun, surat perniagaan rasmi selalunya diperlukan untuk "memeterai" perjanjian itu.
Terdapat dua kategori keseluruhan surat perniagaan: perniagaan ke perniagaan dan perniagaan kepada pelanggan.
Untuk makluman tuan, pihak majikan bersetuju untuk mematuhi segala keperluan dan syarat yang terkandung di dalam prosedur permohonan bagi penyediaan. Beberapa contoh surat rayuan untuk perkeso yang baik 2019. Surat rayuan cute766 dokter andalan. 10 contoh surat permohonan pembayaran resmi hutang perusahaan from i0.wp.com contoh surat rayuan pengurangan bayaran lhdn, contoh surat rayuan bayaran ansuran, contoh surat rayuan bayaran lembaga hasil dalam negeri,. Contoh Surat Rayuan Bayaran Ansuran Cukai Pendapatan Contoh surat rayuan pengurangan bayaran kompaun lhdn. Contoh surat rasmi permohonan sewa kedai murah, contoh surat rasmi. August 30, 2018 | jam : Contoh surat rayuan pengurangan bayaran hutang bulanan ansuran dan lain lain. Jadi cara penyelesaiannya adalah dengan menghantar notis saman supaya peminjam yang ingkar bayar. Penyewaan contoh surat rayuan pengurangan bayaran sewa kedai via. Surat Rasmi Rayuan Pengurangan Bayaran . Dua tapak web "bantuan penulisan" saya me...
2:58 pm | january 11, 2012. Kelulusan pengarah timbalan pengarah politeknik. Offer letter majikan contoh surat tawaran kerja. 99 contoh surat cinta romantis untuk senior & pasangan; Contoh Surat Rayuan Menolak Pertukaran Tempat Kerja Manakala pengesahan jawatan atau pelantikan adalah satu. Contoh surat lantikan kerja bmp stop maybe you would like to learn more about one of these. Jika pihak yang anda hubungi sedang tidak berada di tempat, teleponlah beberapa saat lagi. Adapun permohonan pertukaran tempat kerja boleh menjadi. Nah, untuk lebih jelasnya anda bisa simak beberapa contoh surat penolakan kerja berikut ini sebagai referensi terbaik. Ia adalah keputusan yang sukar dibuat, tetapi, saya telah menerima kedudukan dengan syarikat lain. Contoh Surat Menolak Tawaran Pertukaran Tempat Kerja . Sekiranya anda menyebut lebih daripada satu kejadian, bahagikannya kepada 2 perenggan berbeza dan akhiri perenggan dengan kualiti yang perlu diserlahkan dengan setiap contoh. Jika anda pernah ...